calculated e composições de fase medidas: as composições do C-e C-PHASE (&CC e CC&)nas quatro ligas investigadas foram medidas com 3D apt (erbo 1) [36] e com tem-edx (erbo 15 e derivados) [32]. Os resultados experimentais para as duas fases são apresentadosnas Tabelas 7 (c-fase) e 8 (fase c-&). As tabelas 7 e 8 também contêm previsões de termocalc obtidas para temperaturas a 1143 K (temperatura do segundo passo de tratamento de precipitação para todas as ligas), a 1413 K e 1583 K (erbo/1; temperatura da primeira etapa de tratamento de precipitação e homogeneização, respectivamente) e 1313 K e 1583 K (erbo/15 variantes; temperatura da primeira etapa de tratamento de precipitação e homogeneização, respectivamente). Como a c-fase exibe uma fracção de volume menor do que a c-fase, as alteraçõesna sua composição química&são mais pronunciadas. Nas Figs. 10 e 11,nós apresentamos composições prévias para a c-fase da tabela 7 como gráficos de pizza. A Figura 10 mostra os dados experimentais, que foram medidos em todas as quatro ligas de calor-Treated antes do fluência. Previsões Thermocalc obtidas para o C-PHASES de ERBO/1 (1143, 1413 e 1583 K) e para a ERBO/15 (1143, 1313 e 1583 K) são apresentadasna Fig. 11.
he dados apresentadosna Tabela 7 e Figs. 10 e 11 (c-fase) ena Tabela 8 (c-fase, dados apresentados&sem gráficos) mostram que as temperaturas crescentes resultam em crescente quantidades de Ti, AL e TA e simultaneamente diminuindo as quantidades de CR, CO, W e RE para erbo/1na c-ase. Como pode ser vistonos resultados da Thermocalc apresentadosna Fig. 11, a quantidade do elemento base Ni está aumentando com a temperatura crescente em ERBO/1. Em contraste, diminui com a temperatura crescenteno ERBO/15.As dados --&/
//&#/--/---
-&-15.the- fases para o c
e osnfases ctabela 7 (e figs. 10 e 11) e tabela 8, respectivamente, mostram ainda que os dados da Thermocal para 1143 K (temperatura do último tratamento de precipitação de ligas experimentais) e dados determinados experimentalmentenão estão em pleno acordo, mas razoavelmente próximos uns dos outros para os dois sistemas de liga. Apenasno caso de ERBO 15, os programas de elemento de Mo um valor significativamente inferiorno cálculo, a 1143 K (1,0 at.%) Do quena experiência (4.4at.%).
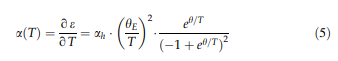
-Discussion Rigidez elástica: Como pode ser vistona Fig. 6A-C, todas as rigidez elásticas diminuem com a temperatura crescente. Esta é principalmente uma conseqüência da anharmonidade do potencial de treliça. Com a temperatura crescente, as crescentes vibrações térmicas levam a distâncias de ligação maiores, o que resultam em uma diminuiçãona interação de ligação e, portanto, em uma reduçãonas rigidez elásticas. O comportamento elástico de Erbo
1 e Erbo15 é quase idêntico, onde os resultados das variantes enxertos de Erbo15 para C11 e C12 caem ligeiramente curtos. Issonão afeta significativamente os moduli elásticos e \\\\ 100 [, que todos são muito próximos (Fig. 6d). Como pode ser vistona Tabela 9, elementos de liga individuais de SX diferem em tamanho, estrutura de cristal, módulo jovem, eletronegatividade e ponto de fusão [48-51]. A Figura 6D mostra que as alteraçõesna química da liga consideradano presente trabalhonão afetam fortemente as propriedades elásticas. Isto está de acordo com as conclusões desenhadas por Demroßder et al. [41], que mostrou que variações ainda maiores de composições de liga do que consideradasno presente trabalhonão afetam fortemente as propriedades elásticas do SX. O comportamento elástico de um único cristal reflete diretamente a anisotropia do seu sistema de ligação. Este último é controlado principalmente por tipo,número e arranjo espacial dos contatos mais próximos
), bem como suas principais composições químicas ([62 a.%ni, [11 a.

Titulo do trabalho: Product manager
Departamento: Market Department
Telefone da empresa: +86 021-59150215
E-mail: Contate-Nos
Celular: +86 13817160919
Local na rede Internet: lanzhusuperalloy.ptb2bvip.com
Endereço: No. 2800 Caoxin Road, Xuhang Town, Jiading District, Shanghai