Figura 4. Dependência temporal da rede de matriz constante, adquirida a partir das medições in situ XRD a 700 ◦ C. Observámos uma diminuição monotónica do parâmetro reticulado, indicando que elementos pesados como Nb e Mo se difundem gradualmente do sólido-matriz de solução e contribuir para a nucleação e crescimento da fase de ESSA. A incerteza relatada neste valor e A seguir, representa uma Davis padrão, salvo especificação em contrário.
Adicionalmente, a alteração do parâmetro de latência da matriz de um sólido-liga de solução está associada à extensão da precipitação [40]. Em AM IN625, a diferença nos parâmetros da rede de matriz antes e depois de um tratamento de calor em 870 ◦ C era ≈ 0.0042 Å [21]. Em comparação, o parâmetro reticulado alterado por ≈ 0.0015 ÁREA após um tratamento térmico de 10.5 h a 700 ◦ C, sugerindo uma precipitação significativamente menor da fase de precipitação de Chávaros neste temperamentoure.
IN625, como projetado, é um único-soro de liga de fasee A resistência origina-se principalmente do reforço da solução sólida do Mo, Nb e Cr [1]. Trigoe Como se espera que a depleção de Mo e Nb da matriz reduza a for ça, a formação de precipitados pode compensar esta redução e aumentar a força global de IN625. Por exemplo, o trabalho IN625 atinge o seu pico de dureza após um tratamento de calor 170 h a 700 ◦ C, que éprincipalmente devido à precipitação da fase de precipitação das pirâmides, um precursor da fase de cozimento [41]. Da mesma forma, a precipitação da fase de barranco aumenta também a força global e reduz a ductilidade [37]. Para AM IN625, é necessária e necessária uma avaliação sistemática do efeito do tratamento térmico nas propriedades mecânicas ao longo de uma gama de temperaturas..
Durante o tratamento térmico, a célula unit ária da fase de Sicília também muda. Figura 5 ilustra esta mudança. Entre os três parâmetros ortorómbicos da rede (figura 5a–c), dois são quase constantes em ≈ 5.108 ÁREA e ≈ 4.232 ÁREA, respectivamente. O terceiro parâmetro da rede mostra um aumento monotónico de ≈ 4.482 para ≈ 4.488 Å. Sabe-se que o eixo longo da fase de precipitação se alinha com o fim-Instruções embaladas da matriz FCC, e as orientações cristalográficas entre a matriz FCC e a fase de cozimento seguem {111}FCC//(100)Penhascos e FCC//[100]δ [10]. Baseado nisso, deduzimos que a difusão de Nb e Mo também é direcional. Uma vez que a difusão de Mo da matriz para a fase de tumulto ocorre mais lentamente do que a de Nb [42], esta difusão direcional pode levar a uma mudança na química de fase de Sicília de Nb e a um aumento do volume unit ário de células, como mostrado na figura 5d.
Figura 5. c) A dependência temporal dos três parâmetros reticulados da fase de planície precipita-se, adquirida a partir das medições in situ XRD a 700 ◦ C. (d) O volume da célula unit ária da fase de cozimento precipita-se.
No local, os dados SAXS adquiridos com o mesmo volume de amostra durante o tratamento térmico isotérmico também fornecem uma janela para sondar a cinética de transformação estatisticamente significativa da microestrutura do material. A figura 6 mostra o conjunto de dados completo, sendo os dados USAXS a parcela principal e os dados SAXS mostrados na inserção. Para consistência, os dados de dispersão são cor-codificado com a mesma escala de cores que os dados XRD na Figura 3. Os dados de dispersão têm três características perceptíveis. Primeiro, para o muito baixo-q parte dos dados de dispersão ≈ 1 × 10 − 4 Å − 1 a ≈ 4 × 10 − 4 Å − 1), nós observamos um poder-declive da lei que não muda em função do tempo. Atribuímos esta característica ao grão dispersão, que é semelhante ao trabalho anterior em Ni-Superlloys baseados [21,43] e alumínio Ligas [44,45]. O crescimento do grão em IN625 é mínimo para temperaturas abaixo de 900 ◦ C [46]. Assim, espera-se que a dispersão dos grãos seja estável, o que é consistente com observações experimentais. Segundo, observamos um aumento monotônico da intensidade de dispersão entre ≈ 4 × 10 − 4 Å − 1 e ≈ 0.01 Å − 1, nomeadamente com duas regiões guineenses próximas de 2% 10 − 3 Å − 1 e 8% 10 − 3 Å − Um, respectivamente. Uma vez que os dados in situ XRD e as imagens ex situ SEM só mostram os precipitações da fase de nhor, atribuímos este sinal de dispersão à fase de Custódia. Estudos microscópicos anteriores determinaram que os precipitados da fase de colina são plaquetas com dois tamanhos característicos [10,21,47], o que está de acordo com a observação de duas regiões guineenses nos dados de dispersão. Por último, os dados do SAXS mostrados no inset são extensões simples da alta potência Q-declive legal nos dados USAXS; i.e., os dados do SAXS não contêm informações adicionais, o que indica que nenhum nm adicional-precipitados do tamanho formados durante este tratamento térmico.
Figura 6. No local, os dados SAXS da AM IN625 adquiridos durante o tratamento térmico isotérmico a 700 ◦ C para 10.5 h. A parcela principal e a inseta mostram os dados USAXS e SAXS, respectivamente. O tempo de aquisição é cor-codificado após a seta temporal. A intensidade USAXS é cortada-manchado.
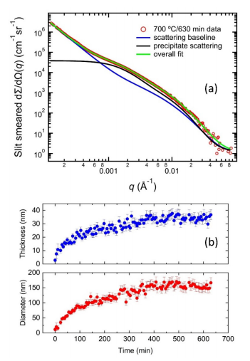
Construímos um modelo de dispersão para descrever os dados de dispersão baseados nestas observações, como ilustrado na Figura 7a. Utilizando os dados USAXS adquiridos em 630 min na experiência in situ como exemplo, este modelo consiste em dois componentes. O primeiro componente é a linha de base de dispersão, que é obtida no mesmo volume de amostra à temperatura ambiente antes do tratamento térmico. O segundo componente representa o excesso de dispersão decorrente da fase de precipitação de precipitação de precipitação. Como estabelecido anteriormente [21], descrevemos este excesso de dispersão utilizando uma abordagem de an álise análoga ao método unificado de dispersão de pequenas linhas com dois níveis de dispersão [48]. Juntos, estes dois-modelo de componente descreve os dados in situ SAXS bem através de toda a sequência de dados.
Figura 7. a) Uma ilustração do modelo SAXS utilizado neste trabalho. Os dados foram adquiridos em 630 min durante o tratamento térmico em 700 ◦ C. A dispersão excessiva compreende duas partes: (1) dispersão da linha de base e (2) excesso de dispersão da fase de precipitação de precipitação de precipitação. b) A hora-evolução dependente do diâmetro médio (dimensão principal) e espessura (dimensão menor) da fase de cozimento precipita-se.

Titulo do trabalho: Product manager
Departamento: Market Department
Telefone da empresa: +86 021-59150215
E-mail: Contate-Nos
Celular: +86 13817160919
Local na rede Internet: lanzhusuperalloy.ptb2bvip.com
Endereço: No. 2800 Caoxin Road, Xuhang Town, Jiading District, Shanghai